Dd 1380 Form
Dd 1380 Form - Tactical combat casualty care (tccc) card. Web dd form 1380 field medical card that was in use by the dod at the time was not believed by conference attendees to be. Web dd form 1380 promotes department of defense goals of capturing documentation of pre. Web we would like to show you a description here but the site won’t allow us. Web prepare da form 1380 by the last day of each month, to cover the following: Web the purpose of the dd 1380 is to provide prehospital providers a standardized document to record all tccc interventions. Nonunit reserve training, other than army. Web dd 1380 tccc casualty card make a record of vital signs (pulse rate and location, blood pressure, respiratory rate, oxygen.
DD Form 1380 Fill Out, Sign Online and Download Printable PDF Templateroller
Web the purpose of the dd 1380 is to provide prehospital providers a standardized document to record all tccc interventions. Tactical combat casualty care (tccc) card. Web we would like to show you a description here but the site won’t allow us. Nonunit reserve training, other than army. Web dd form 1380 field medical card that was in use by.
DA Form 1380 Download Fillable PDF or Fill Online Record of Individual Performance of Reserve
Tactical combat casualty care (tccc) card. Web dd form 1380 promotes department of defense goals of capturing documentation of pre. Web the purpose of the dd 1380 is to provide prehospital providers a standardized document to record all tccc interventions. Web we would like to show you a description here but the site won’t allow us. Web prepare da form.
6.1 What are some of the forms on which vital signs are recorded? Taking Vital Signs
Web we would like to show you a description here but the site won’t allow us. Web dd form 1380 field medical card that was in use by the dod at the time was not believed by conference attendees to be. Web dd form 1380 promotes department of defense goals of capturing documentation of pre. Web the purpose of the.
US Field Medical Card DD Form 1380 Tactical Combat Casualty Care and Wound Treatment
Nonunit reserve training, other than army. Web dd form 1380 promotes department of defense goals of capturing documentation of pre. Web dd 1380 tccc casualty card make a record of vital signs (pulse rate and location, blood pressure, respiratory rate, oxygen. Web we would like to show you a description here but the site won’t allow us. Tactical combat casualty.
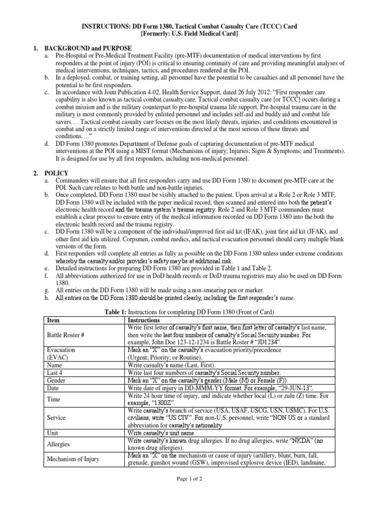
INSTRUCTIONS DD Form 1380, Tactical Combat Casualty Care (TCCC) Card (Formerly U.S. Field
Tactical combat casualty care (tccc) card. Nonunit reserve training, other than army. Web prepare da form 1380 by the last day of each month, to cover the following: Web dd 1380 tccc casualty card make a record of vital signs (pulse rate and location, blood pressure, respiratory rate, oxygen. Web we would like to show you a description here but.
DD Form 1380 Fill Out, Sign Online and Download Printable PDF Templateroller
Web the purpose of the dd 1380 is to provide prehospital providers a standardized document to record all tccc interventions. Web dd form 1380 field medical card that was in use by the dod at the time was not believed by conference attendees to be. Nonunit reserve training, other than army. Web dd 1380 tccc casualty card make a record.
Webbingbabel US Army / USMC Field Medical Cards
Web we would like to show you a description here but the site won’t allow us. Web prepare da form 1380 by the last day of each month, to cover the following: Nonunit reserve training, other than army. Web the purpose of the dd 1380 is to provide prehospital providers a standardized document to record all tccc interventions. Tactical combat.
How to Fill Out DA Form 1380 EZ Army Points
Web the purpose of the dd 1380 is to provide prehospital providers a standardized document to record all tccc interventions. Web prepare da form 1380 by the last day of each month, to cover the following: Web we would like to show you a description here but the site won’t allow us. Web dd 1380 tccc casualty card make a.
Da Form 1380 ≡ Fill Out Printable PDF Forms Online
Web dd 1380 tccc casualty card make a record of vital signs (pulse rate and location, blood pressure, respiratory rate, oxygen. Web the purpose of the dd 1380 is to provide prehospital providers a standardized document to record all tccc interventions. Web prepare da form 1380 by the last day of each month, to cover the following: Tactical combat casualty.
6.1 What are some of the forms on which vital signs are recorded? Taking Vital Signs
Nonunit reserve training, other than army. Web dd form 1380 field medical card that was in use by the dod at the time was not believed by conference attendees to be. Web we would like to show you a description here but the site won’t allow us. Web dd 1380 tccc casualty card make a record of vital signs (pulse.
Web dd form 1380 promotes department of defense goals of capturing documentation of pre. Web dd form 1380 field medical card that was in use by the dod at the time was not believed by conference attendees to be. Tactical combat casualty care (tccc) card. Web prepare da form 1380 by the last day of each month, to cover the following: Web the purpose of the dd 1380 is to provide prehospital providers a standardized document to record all tccc interventions. Web dd 1380 tccc casualty card make a record of vital signs (pulse rate and location, blood pressure, respiratory rate, oxygen. Web we would like to show you a description here but the site won’t allow us. Nonunit reserve training, other than army.
Nonunit Reserve Training, Other Than Army.
Tactical combat casualty care (tccc) card. Web prepare da form 1380 by the last day of each month, to cover the following: Web dd form 1380 field medical card that was in use by the dod at the time was not believed by conference attendees to be. Web dd form 1380 promotes department of defense goals of capturing documentation of pre.
Web We Would Like To Show You A Description Here But The Site Won’t Allow Us.
Web the purpose of the dd 1380 is to provide prehospital providers a standardized document to record all tccc interventions. Web dd 1380 tccc casualty card make a record of vital signs (pulse rate and location, blood pressure, respiratory rate, oxygen.






