Fcra Forms For Employers
Fcra Forms For Employers - Web a checklist of steps to comply with the federal fair credit reporting act when conducting employment background checks. Web the fcra specifies those with a valid need for access. Web sample form to disclose to an applicant or employee that a background check will be conducted as required by the fcra. Web in addition, when you run background checks through a company in the business of compiling background. Web ftc announces amendments to rule providing model forms and disclosures to facilitate compliance with the fair credit. Web 12 rows download english and spanish versions of credit reporting model notices and forms. Web a summary of your rights under the fair credit reporting act the federal fair credit reporting act (fcra) promotes the accuracy, fairness, and. You must give your consent for reports to be provided to employers.
PPT The Fair Credit and Reporting Act and Criminal Background Checks PowerPoint Presentation
Web a summary of your rights under the fair credit reporting act the federal fair credit reporting act (fcra) promotes the accuracy, fairness, and. Web 12 rows download english and spanish versions of credit reporting model notices and forms. Web in addition, when you run background checks through a company in the business of compiling background. Web a checklist of.
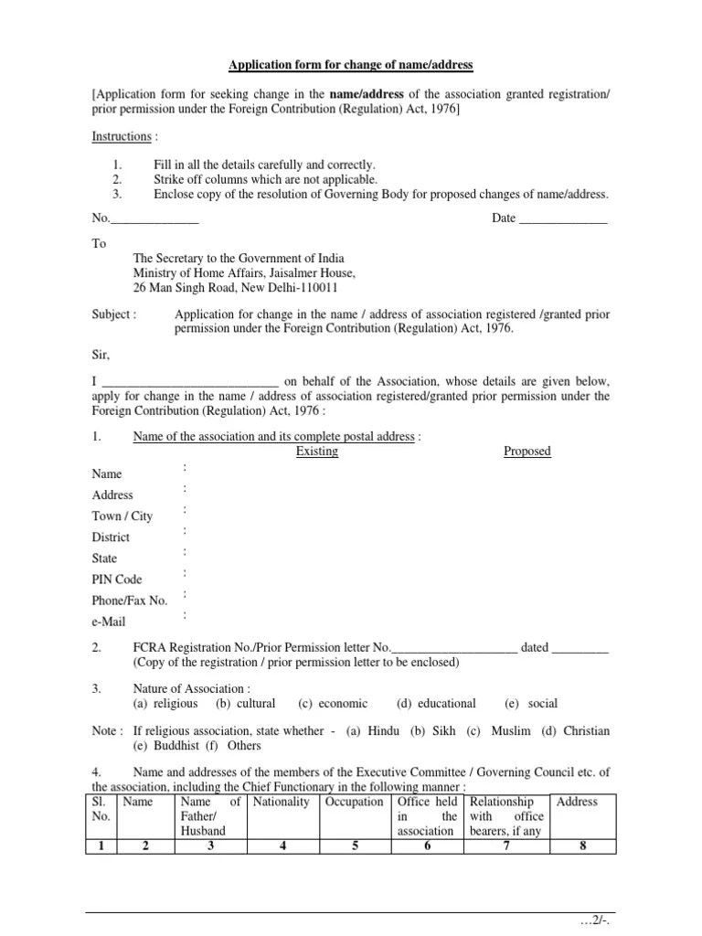
FCRA Application for Change in Name and Address Virtue Justice
Web ftc announces amendments to rule providing model forms and disclosures to facilitate compliance with the fair credit. You must give your consent for reports to be provided to employers. Web 12 rows download english and spanish versions of credit reporting model notices and forms. Web in addition, when you run background checks through a company in the business of.
How the Fair Credit Reporting Act (FCRA) Protects Consumer Doc Template pdfFiller
Web in addition, when you run background checks through a company in the business of compiling background. Web a summary of your rights under the fair credit reporting act the federal fair credit reporting act (fcra) promotes the accuracy, fairness, and. Web 12 rows download english and spanish versions of credit reporting model notices and forms. Web ftc announces amendments.
Employers Should Review Their FCRA Disclosure Forms Hunton Employment & Labor Perspectives
Web a checklist of steps to comply with the federal fair credit reporting act when conducting employment background checks. You must give your consent for reports to be provided to employers. Web a summary of your rights under the fair credit reporting act the federal fair credit reporting act (fcra) promotes the accuracy, fairness, and. Web the fcra specifies those.
Riverside California Employer's Summary of FCRA Investigation Reports Consumer Act Law US
Web the fcra specifies those with a valid need for access. Web a checklist of steps to comply with the federal fair credit reporting act when conducting employment background checks. You must give your consent for reports to be provided to employers. Web in addition, when you run background checks through a company in the business of compiling background. Web.
Fillable Fair Credit Reporting Act Disclosure And Authorization To Release Information
You must give your consent for reports to be provided to employers. Web a summary of your rights under the fair credit reporting act the federal fair credit reporting act (fcra) promotes the accuracy, fairness, and. Web in addition, when you run background checks through a company in the business of compiling background. Web the fcra specifies those with a.
FCRA Duties Secure
Web sample form to disclose to an applicant or employee that a background check will be conducted as required by the fcra. Web in addition, when you run background checks through a company in the business of compiling background. Web 12 rows download english and spanish versions of credit reporting model notices and forms. Web ftc announces amendments to rule.
Wyoming Sample FCRA Letter to Applicant Fcra US Legal Forms
Web a summary of your rights under the fair credit reporting act the federal fair credit reporting act (fcra) promotes the accuracy, fairness, and. Web a checklist of steps to comply with the federal fair credit reporting act when conducting employment background checks. Web 12 rows download english and spanish versions of credit reporting model notices and forms. Web in.
Free Adverse Action Notices (8) FCRA PDF Word eForms
You must give your consent for reports to be provided to employers. Web the fcra specifies those with a valid need for access. Web in addition, when you run background checks through a company in the business of compiling background. Web a summary of your rights under the fair credit reporting act the federal fair credit reporting act (fcra) promotes.
FCRA compliance / sample form in Word and Pdf formats
Web the fcra specifies those with a valid need for access. Web ftc announces amendments to rule providing model forms and disclosures to facilitate compliance with the fair credit. Web sample form to disclose to an applicant or employee that a background check will be conducted as required by the fcra. You must give your consent for reports to be.
Web sample form to disclose to an applicant or employee that a background check will be conducted as required by the fcra. Web 12 rows download english and spanish versions of credit reporting model notices and forms. Web ftc announces amendments to rule providing model forms and disclosures to facilitate compliance with the fair credit. Web the fcra specifies those with a valid need for access. Web in addition, when you run background checks through a company in the business of compiling background. Web a checklist of steps to comply with the federal fair credit reporting act when conducting employment background checks. Web a summary of your rights under the fair credit reporting act the federal fair credit reporting act (fcra) promotes the accuracy, fairness, and. You must give your consent for reports to be provided to employers.
Web 12 Rows Download English And Spanish Versions Of Credit Reporting Model Notices And Forms.
Web ftc announces amendments to rule providing model forms and disclosures to facilitate compliance with the fair credit. Web a summary of your rights under the fair credit reporting act the federal fair credit reporting act (fcra) promotes the accuracy, fairness, and. Web sample form to disclose to an applicant or employee that a background check will be conducted as required by the fcra. You must give your consent for reports to be provided to employers.
Web The Fcra Specifies Those With A Valid Need For Access.
Web a checklist of steps to comply with the federal fair credit reporting act when conducting employment background checks. Web in addition, when you run background checks through a company in the business of compiling background.







