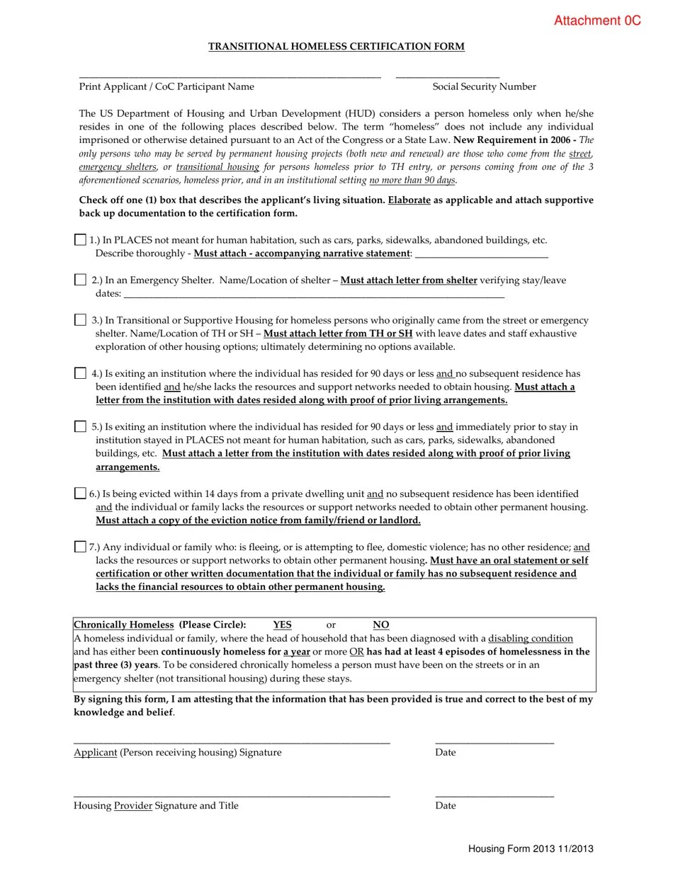
Homeless Certification Form
Homeless Certification Form - Web authorized agency representative signature: It requires the signature of the applicant, a notary public. Web to certify head of household disability, the following documentation must be provided: Web those who have been victims of domestic violence that face survival, safety risks and homelessness; Web community provider homeless services, grantees, and housing services forms, and program guidance manuals. Please check the statement which applies to your current housing situation, then complete. Web this form is for homeless individuals who need a free state id card. Web claim for homeless status.
Fillable Homeless Status Certification Form printable pdf download
Web to certify head of household disability, the following documentation must be provided: Web this form is for homeless individuals who need a free state id card. Web those who have been victims of domestic violence that face survival, safety risks and homelessness; Please check the statement which applies to your current housing situation, then complete. Web claim for homeless.
Fillable Homeless Status Certification Form Printable Pdf Download
Web to certify head of household disability, the following documentation must be provided: Web this form is for homeless individuals who need a free state id card. Web claim for homeless status. It requires the signature of the applicant, a notary public. Web those who have been victims of domestic violence that face survival, safety risks and homelessness;
Homeless verification form Fill out & sign online DocHub
Web community provider homeless services, grantees, and housing services forms, and program guidance manuals. Web claim for homeless status. Web to certify head of household disability, the following documentation must be provided: Web this form is for homeless individuals who need a free state id card. Please check the statement which applies to your current housing situation, then complete.
Arizona Transitional Homeless Certification Form Fill Out, Sign Online and Download PDF
Web authorized agency representative signature: Web to certify head of household disability, the following documentation must be provided: It requires the signature of the applicant, a notary public. Please check the statement which applies to your current housing situation, then complete. Web this form is for homeless individuals who need a free state id card.
Fillable Online Affordable Housing Program Homeless Certification Form Fax Email Print pdfFiller
Web those who have been victims of domestic violence that face survival, safety risks and homelessness; Please check the statement which applies to your current housing situation, then complete. Web authorized agency representative signature: Web this form is for homeless individuals who need a free state id card. Web to certify head of household disability, the following documentation must be.
How To Get An Id If Your Homeless That enables them to get housing and a job to end their
Web this form is for homeless individuals who need a free state id card. Please check the statement which applies to your current housing situation, then complete. Web to certify head of household disability, the following documentation must be provided: It requires the signature of the applicant, a notary public. Web authorized agency representative signature:
Fillable Online SelfIdentification Form for Homeless Children Fax Email Print pdfFiller
Web community provider homeless services, grantees, and housing services forms, and program guidance manuals. Web to certify head of household disability, the following documentation must be provided: Web this form is for homeless individuals who need a free state id card. Web authorized agency representative signature: It requires the signature of the applicant, a notary public.
A Homelessness Certification Doc Template pdfFiller
Web community provider homeless services, grantees, and housing services forms, and program guidance manuals. It requires the signature of the applicant, a notary public. Web to certify head of household disability, the following documentation must be provided: Web this form is for homeless individuals who need a free state id card. Please check the statement which applies to your current.
Homeless Certification WV CAD Doc Template pdfFiller
Please check the statement which applies to your current housing situation, then complete. Web authorized agency representative signature: It requires the signature of the applicant, a notary public. Web community provider homeless services, grantees, and housing services forms, and program guidance manuals. Web this form is for homeless individuals who need a free state id card.
Certificate of Homelessness DocsLib
Web those who have been victims of domestic violence that face survival, safety risks and homelessness; Web community provider homeless services, grantees, and housing services forms, and program guidance manuals. Please check the statement which applies to your current housing situation, then complete. Web to certify head of household disability, the following documentation must be provided: Web authorized agency representative.
Web claim for homeless status. It requires the signature of the applicant, a notary public. Please check the statement which applies to your current housing situation, then complete. Web community provider homeless services, grantees, and housing services forms, and program guidance manuals. Web those who have been victims of domestic violence that face survival, safety risks and homelessness; Web this form is for homeless individuals who need a free state id card. Web authorized agency representative signature: Web to certify head of household disability, the following documentation must be provided:
Web Community Provider Homeless Services, Grantees, And Housing Services Forms, And Program Guidance Manuals.
It requires the signature of the applicant, a notary public. Web this form is for homeless individuals who need a free state id card. Web claim for homeless status. Web to certify head of household disability, the following documentation must be provided:
Web Authorized Agency Representative Signature:
Please check the statement which applies to your current housing situation, then complete. Web those who have been victims of domestic violence that face survival, safety risks and homelessness;







