Re Entry Meeting After Suspension Form
Re Entry Meeting After Suspension Form - This article maps out a. You can also download it, export it or print it out. What is the “go to” person’s. Web if the suspension was for less than 20 days, and there are only 5 days left before the end of the suspension or expulsion, it is time. Web send re entry plan for students after suspension via email, link, or fax. Web date of next meeting: Web if suspension, describe the incident and review with student and family. Who will be the “go to” person for the student?
Top In School Suspension Forms And Templates free to download in PDF format
Web send re entry plan for students after suspension via email, link, or fax. Who will be the “go to” person for the student? Web date of next meeting: Web if suspension, describe the incident and review with student and family. What is the “go to” person’s.
Notice of Preventive Suspension Sample PDF
This article maps out a. Web if suspension, describe the incident and review with student and family. What is the “go to” person’s. Web send re entry plan for students after suspension via email, link, or fax. You can also download it, export it or print it out.
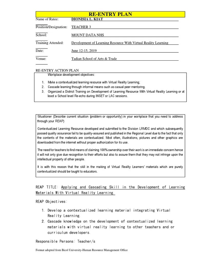
Re Entry Plan PDF
What is the “go to” person’s. Web send re entry plan for students after suspension via email, link, or fax. Web if the suspension was for less than 20 days, and there are only 5 days left before the end of the suspension or expulsion, it is time. Web date of next meeting: You can also download it, export it.
Re Entry Plan SOLO PDF
Web if the suspension was for less than 20 days, and there are only 5 days left before the end of the suspension or expulsion, it is time. Web date of next meeting: This article maps out a. Web send re entry plan for students after suspension via email, link, or fax. Web if suspension, describe the incident and review.
Re Entry Action Plan PDF Educational Psychology Learning
What is the “go to” person’s. Who will be the “go to” person for the student? Web send re entry plan for students after suspension via email, link, or fax. Web if suspension, describe the incident and review with student and family. Web if the suspension was for less than 20 days, and there are only 5 days left before.
Re Entry Action Plan PDF
Web if the suspension was for less than 20 days, and there are only 5 days left before the end of the suspension or expulsion, it is time. What is the “go to” person’s. Web date of next meeting: Who will be the “go to” person for the student? Web send re entry plan for students after suspension via email,.
Notice Of Suspension Of Employment On Full Pay printable pdf download
Who will be the “go to” person for the student? Web if suspension, describe the incident and review with student and family. Web date of next meeting: What is the “go to” person’s. Web send re entry plan for students after suspension via email, link, or fax.
ReEntry Fellowship (DOC 113KB)
This article maps out a. Web if suspension, describe the incident and review with student and family. Web date of next meeting: You can also download it, export it or print it out. Web send re entry plan for students after suspension via email, link, or fax.
ReEntry Form PDF Drug Rehabilitation Prison
Web send re entry plan for students after suspension via email, link, or fax. You can also download it, export it or print it out. Web if the suspension was for less than 20 days, and there are only 5 days left before the end of the suspension or expulsion, it is time. Who will be the “go to” person.
Re Entry Plan PDF Personal Protective Equipment Occupational Safety And Health
You can also download it, export it or print it out. Web if the suspension was for less than 20 days, and there are only 5 days left before the end of the suspension or expulsion, it is time. Web if suspension, describe the incident and review with student and family. What is the “go to” person’s. Who will be.
You can also download it, export it or print it out. Web send re entry plan for students after suspension via email, link, or fax. This article maps out a. Web if the suspension was for less than 20 days, and there are only 5 days left before the end of the suspension or expulsion, it is time. Who will be the “go to” person for the student? What is the “go to” person’s. Web if suspension, describe the incident and review with student and family. Web date of next meeting:
You Can Also Download It, Export It Or Print It Out.
This article maps out a. What is the “go to” person’s. Web if the suspension was for less than 20 days, and there are only 5 days left before the end of the suspension or expulsion, it is time. Web date of next meeting:
Web If Suspension, Describe The Incident And Review With Student And Family.
Web send re entry plan for students after suspension via email, link, or fax. Who will be the “go to” person for the student?
